三维沉积盆地对地震动的放大效应间接边界元法模拟

Simulation on the amplification effect of a three-dimensional alluvial basin on the earthquake ground motion using the indirect boundary element method

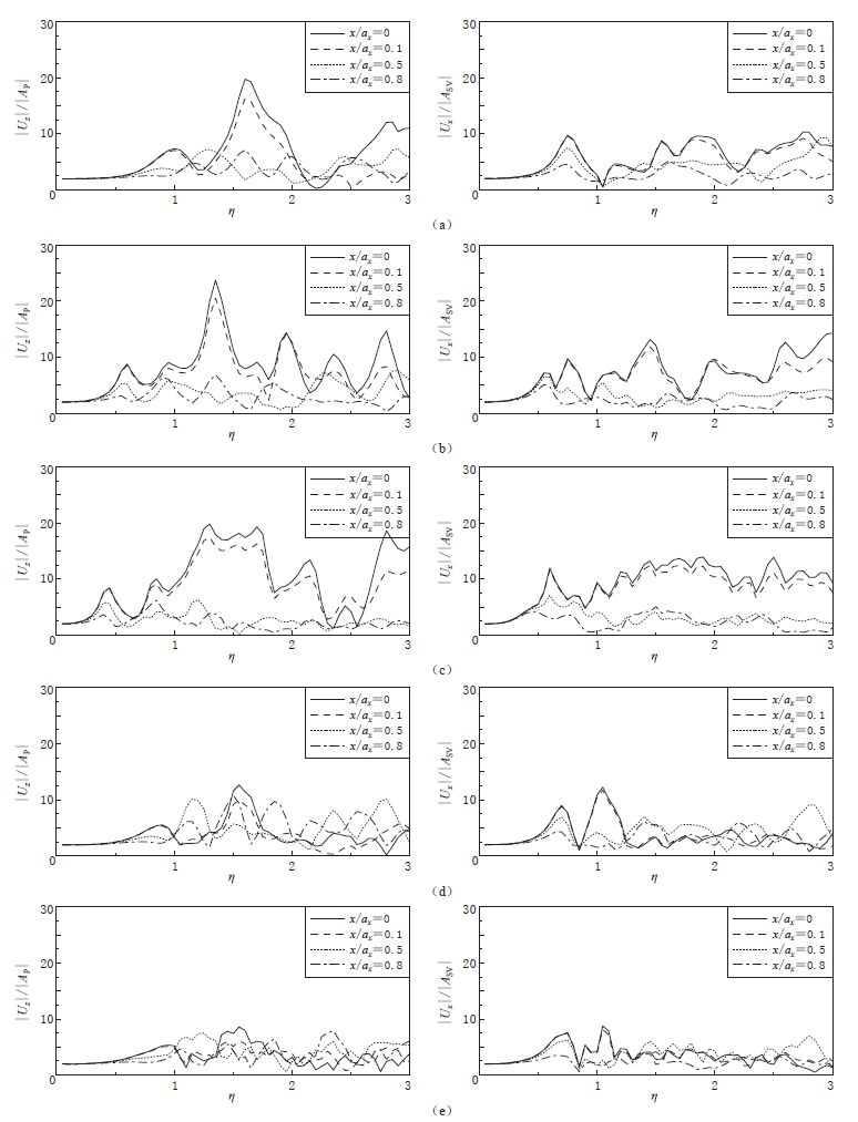
  • 摘要: 基于一种高精度间接边界元法(IBEM), 实现了沉积盆地三维地震响应的频域、 时域精细求解, 并以半空间中椭球形沉积盆地对平面P波和SV波的散射为例, 着重探讨了入射角度、 入射波型、 入射频率、 盆地长宽比和深宽比对沉积盆地地震动放大效应的影响规律. 结果表明: 盆地形状对地震波的放大效应和空间分布状态具有显著影响, 且具体规律受控于入射波频段. ① 随着盆地深度增大, 盆地边缘面波发育更为充分, 在较宽频段内均会出现显著的地震动放大效应, 且深盆地的放大区域集中于盆地中部. ② 圆形盆地对地震波的汇聚效应最为显著, 而狭长盆地对地震波的汇聚作用相对较弱, 高频情况下可在盆地内部形成多个聚焦区域. ③ 不同波型入射下, 盆地对地震动放大效应的机制有所差异: P波入射下, 竖向位移放大主要是由于盆地边缘面波由四周向中部汇聚所致; SV波入射下, 边缘面波汇聚效应相对较弱, 而当盆地较深时, 底部透射体波和边缘面波易形成同相干涉从而显著放大地震动. 按盆地内外介质波速比为1/2, P波和SV波垂直入射下频域最大放大倍数分别为25和15, 时域放大倍数约为4.0和3.7(雷克子波). ④ 低频波入射下, 位移从盆地中部向边缘逐渐减小, 且浅层沉积盆地对地表位移幅值的放大作用不明显. ⑤ P波和SV波的入射角度对盆地地震动放大幅值及空间分布特征也具有显著影响.

     

    Abstract: Based on the indirect boundary element method (IBEM) with high precision, this paper solves the seismic response of a three-dimensional sedimentary basins both in the frequency domain and time domain. Taking the scattering of plane P and SV waves around an semi-ellipsoidal three-dimensional sedimentary basin as an example, the amplification effects of incident angle, wave type, incident frequency, length-width ratio and depth-width ratio of the basin on the ground motion are investigated in detail. The numerical results show that the basin shape has a significant impact on the amplification effect of seismic waves and the spatial distribution characteristics, and the detail effect also strongly depends on the frequency band of incident wave. In particular, as the basin depth increases, edge-generated surface waves become dominant, significant ground motion amplification effect can be observed for a wider band, and amplification area is mainly located in the middle of basin. The seismic wave focusing effect within the circular basin seems most significant, while that within long-narrow basin seems relatively weak, and multiple wave-focused areas appear within the basin for incident high-frequency waves. The amplification mechanism of basin effect on ground motion is different for different types of waves: for incident P waves, significant amplification of vertical displacement in the middle of basin can be mainly attributed to the focusing of surface waves generated from the basin edge; as for SV wave incidence, the surface wave focusing effect is relatively weak, but when the basin is deep, constructive interference of transmitted body waves and edge surface waves tend to result in a considerable amplification effect. For the wave-velocity ratio 1/2 between the alluvial basin and the bedrock, amplification factors of P and SV waves can reach up to 25, 15, respectively in frequency domain, and to 4.0, 3.7, respectively in time domain (Ricker waves). As for the low frequency waves, the displacement amplitude decreases from the basin center to basin edge, and the amplification is not obvious for the shallow basin. In addition, the angle of incidence also has significant impact on the amplitude and spatial distribution characteristics of ground motion.

     

/

返回文章
返回