静动力边界转换及其合理性验证方法的研究

Research on the static-dynamic boundary switch and its rationality verification method

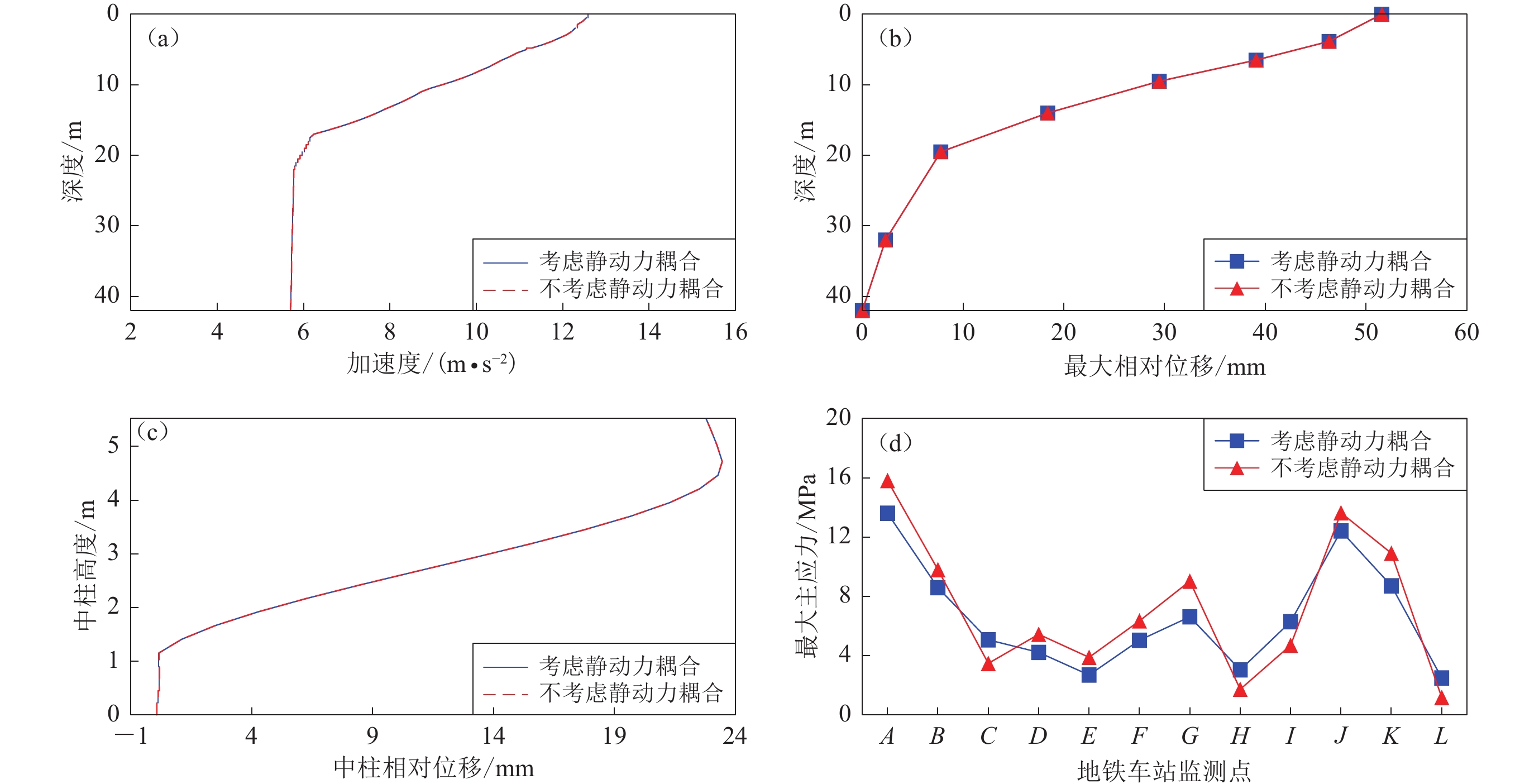
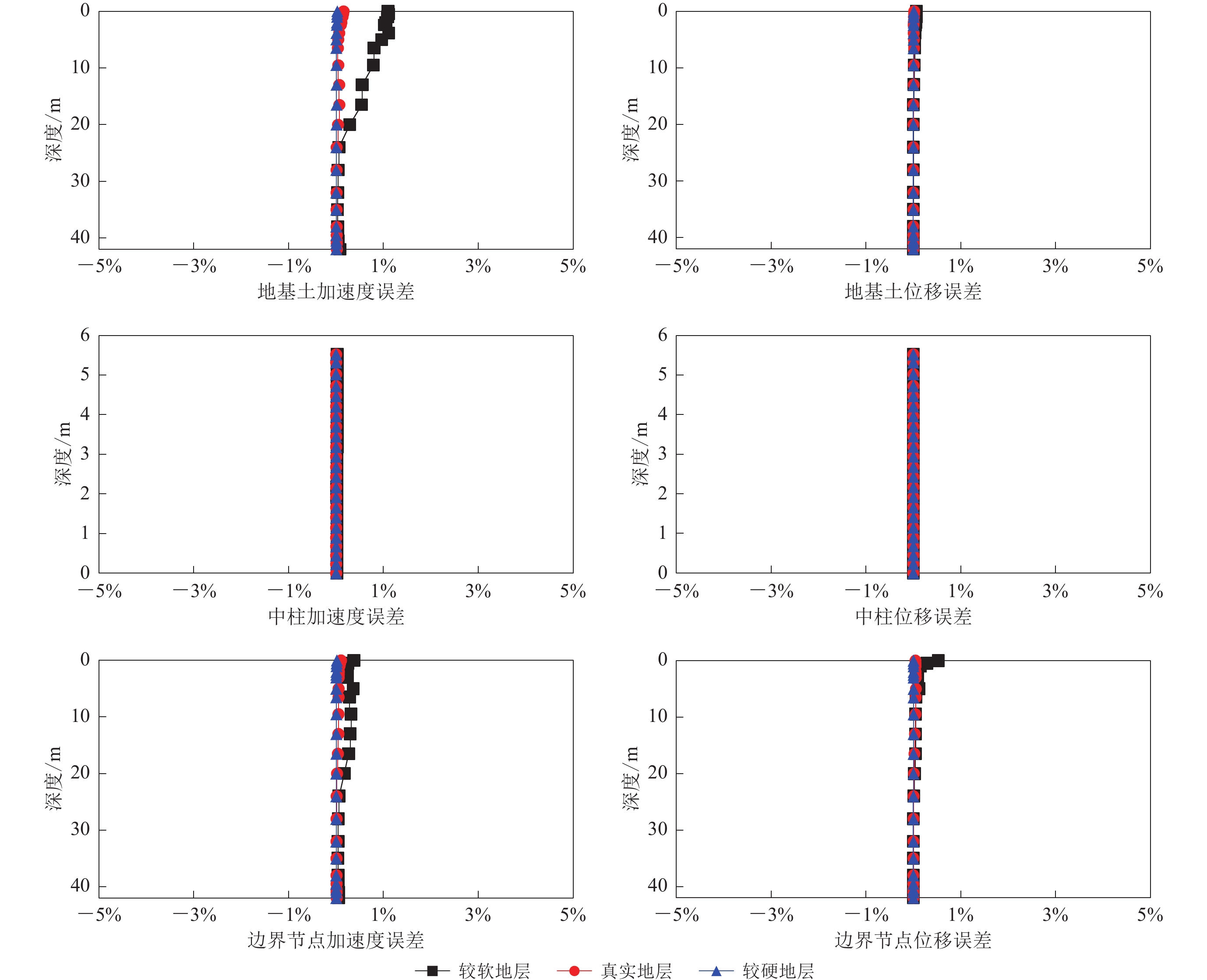
  • 摘要: 繁琐复杂的静动力边界转换处理是进行静动力耦合模拟的关键步骤,为了研究黏弹性边界条件下传统静动力边界转换的合理性及其验证方法的适用性,本文首先根据弹性叠加原理提出了一种验证静动力耦合模拟分析中静动力边界转换合理性的方法(参考解法);然后基于有限元软件ABAQUS,并结合自行研发的适用于成层介质的黏弹性边界施加和等效节点力计算程序VBEA2.0,对多土层自由场静动力耦合模型和土-地下结构静动力耦合模型进行了地震反应分析,对参考解法的适用性进行了探究;最后使用本文提出的参考解法,对一种典型的未进行合理静动力边界转换的自由场模型进行了分析,探讨了静动力边界转换产生振荡的原因和机理。研究结果表明:用于验证静动力边界转换合理性的参考解法,既适用于多土层自由场静动力耦合计算模型,又适用于土-结构相互作用的静动力耦合模型;静动力边界转换后产生的振荡是静动力耦合计算模型静力不平衡所导致,一般是因为未合理施加边界反力或单元应力。

     

    Abstract: In the dynamic analysis of underground structure subjected to seismic loading, dynamic boundary (e.g., viscous-spring boundary condition, transient wave transmission boundary, etc.) is essential to be adopted to absorb the reflected wave. Generally, the dynamic boundary is not applicable to the static analysis in the simulation of seismic response of underground structure. Taking the viscous-spring boundary condition as an example, if this dynamic boundary condition is applied during the static analysis phase the subsequent dynamic response will be significantly affected, since this operation results in incorrect input of ground motion in the numerical model. To solve this problem, the traditional approach involves employing a fixed boundary during static analysis, which is then replaced by a dynamic boundary during dynamic analysis. Specifically, the dynamic calculation is performed using a viscous-spring boundary condition based on the results obtained in the static analysis with static boundary condition. The complex process of switching between static and dynamic boundary is a significant step in the static-dynamic coupling simulation. However, oscillations occur at the onset of dynamic response when switching from a static to a dynamic boundary, affecting dynamic response of acceleration, velocity, displacement, etc.  To investigate the validity of the traditional scheme for switching static-dynamic boundary condition types (from static boundary to viscous-spring boundary) and the applicability of the verification method the following works were conducted: based on the superposition principle, a method for verifying the rationality of static-dynamic boundary switch is given (reference method). Using the finite element method software ABAQUS and the self-developed VBEA2.0 program, which can automatically set viscous-spring boundary and input seismic wave, the seismic response of layered free field and soil-underground structure models (Dakai metro station) considering integral static-dynamic analysis are analyzed. Based on these results, the applicability of the reference method is discussed. Adopting this reference method, an analysis is conducted on a free field model employing a typical, unreasonable static-dynamic switching method with the aim of shedding lights on the oscillations during the switching between the static and dynamic boundary condition. Finally, a potential mechanism for the observed oscillation in the process of switching boundary condition is proposed.  The simulation results indicate that the introduced method of switching boundary conditions for the viscous-spring boundary condition in seismic analysis performs well, effectively avoiding oscillations at the beginning of dynamic analysis. The procedure should be as follows: First, perform the static analysis to balance the in-situ stress; then, carry out the switching between static and dynamic boundaries; and finally, calculate the dynamic analysis. In particular, the rational application of nodal reaction force, gravity, and element stress is a key factor influencing the rationality of static-dynamic boundary switching.In addition to that, the proposed reference method for verifying the rationality of static-dynamic boundary switching is applicable to both the layered free field model and the soil-underground structure model based on the seismic response of the free field and the field embedding an underground structure. In the reference method, dynamic results of the elastic and non-damped model, without considering the static-dynamic coupling effects (reference model), are used as the benchmark solution for checking the dynamic response analysis. Dynamic response of the numerical model with the correct static and dynamic boundary switching should align with the corresponding dynamic response recorded in the reference model, in terms of acceleration, displacement time history. The second-order Euclidean norm is recommended for calculating the relative errors between the benchmark model and the numerical model which needs to check the validity of the traditional scheme for switching static-dynamic boundary. This can intuitively indicate the presence of oscillations in the early stage of dynamic calculation and assess the degree of their impact on the later stage, offering an effective tool to examine the rationality of static and dynamic boundary switching for a reasonable static-dynamic coupling analysis of soil-underground structure.  Lastly, to reveal the mechanism of oscillation in the switching process of static and dynamic boundary, a model with only nodal reaction forces on the truncated boundary extracted and applied for the dynamic phase, which is typically incorrect to switch the static boundary condition to dynamic boundary condition, is built and analyzed. This incorrect way generates substantial forces in the spring elements leading the inaccurate seismic wave input employing equivalent nodal forces in the dynamic phase, according to the magnitude of elastic fore for spring elements located at the viscous-spring boundary. This means the numerical model may underestimate the dynamic response as portion of the equivalent nodal forces are counteracted by these forces from the springs. Therefore, the oscillated response in this switching procedure of static-dynamic boundary is typically caused by the non-static equilibrium in the static-dynamic coupling calculation model, possibly resulting from incorrect static-dynamic boundary switching.

     

/

返回文章
返回