地震载荷下圆柱型储罐内晃荡响应的数值模拟

Numerical modelling of sloshing responses in a cylindrical tank under seismic excitations

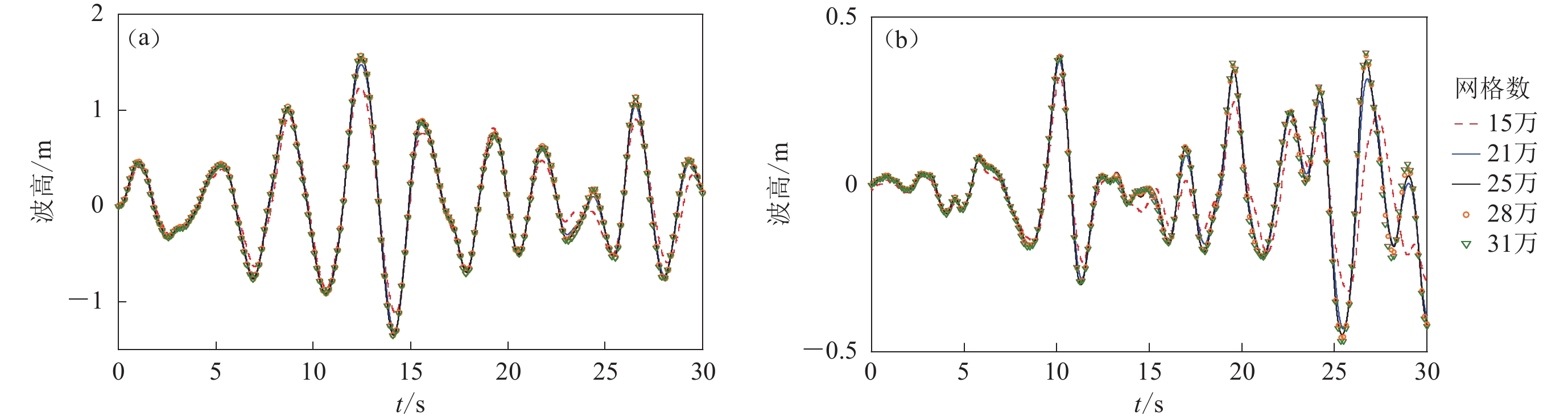
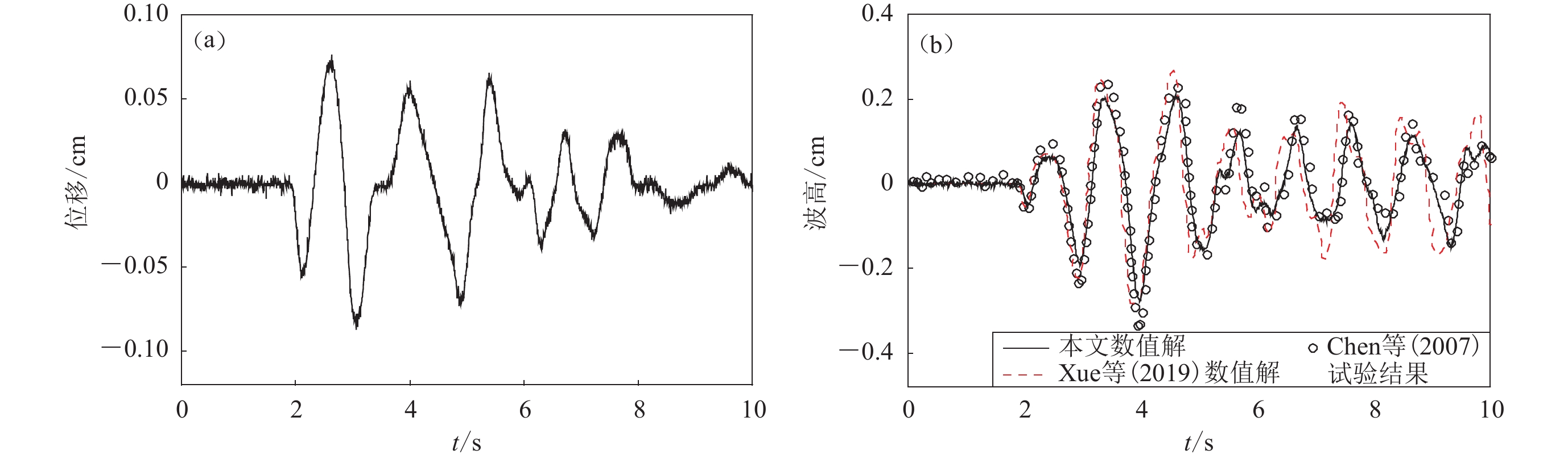
  • 摘要: 为了研究地震载荷下圆柱型储罐内液体的晃荡特性,选用15种典型的地震信号,采用计算流体力学软件Fluent进行数值仿真,以探究地震的频率、频率成分、峰值速度以及峰值加速度对晃荡波高和水动压的作用规律。结果表明:① 地震主频是影响自由液面响应的主要因素之一,当其接近储液的一阶固有频率时,会激发强烈的非线性晃荡现象,工程中应添加减晃装置;② 波高与地震峰值速度呈较强的正相关,并且低频成分的地震信号激发的波浪较其它频率成分的地震信号更为剧烈;③ 水动压在储罐上部呈对流模式分布,主要受地震主频和频率成分的影响,并与地震峰值速度和频率成分呈正相关;④ 水动压在储罐中、下部为脉冲模式分布,与地震峰值加速度呈线性正相关且下部的水动压增长速率明显大于中部。因此在抗震设计中,应加强罐壁下部的强度,尤其是峰值加速度较大的储罐放置场地。

     

    Abstract: China is a country with frequent and high-intensity earthquakes and has arranged a large amount of storage tanks to conserve liquid materials, which can cause violent liquid sloshing in tanks, resulting in wall buckling, roof breaking and overflow. To comprehensively investigate the sloshing characteristics in cylindrical tanks under seismic excitations, seismic parameters covering a broad range of seismic frequency, frequency content, peak ground velocity (PGV) and peak ground acceleration (PGA), which were four main concerns of seismic excitations, need to be traversed. Then, totally 12 seismic events involving 15 kinds of seismic records at home and abroad were selected to explore as much as possible about the key factors affecting the sloshing responses. The seismic frequency ranged from 0.11 Hz to 2.545 Hz, which covered the several natural frequencies of the fluid. The frequency content of all seismic records included the low frequency, intermediate frequency and high frequency. PGA increased from 0.081g to 1.79g, and PGV ranged from 0.22 m/s to 1.76 m/s. Numerical simulations, which could avoid the constraints of the theoretical assumption and experimental facility in prototype tanks, were carried out by using the computational fluid dynamics software Fluent to investigate the effects of seismic frequency, frequency content, PGV and PGA on the sloshing height and hydrodynamic pressure. After full validations against available numerical and experimental results in literatures, systematic simulations were carried out. The results suggest that: ① the dominant frequency of the seismic excitation is one main factor affecting the free-surface response, when it is close to the first-order natural frequency of the liquid and meantime lasts a longer duration, a strong non-linear phenomenon occurs, thereby the inhibition devices should be introduced in application; ② the wave height and the PGV exhibit a strong positive correlation in most cases; and the low-frequency content can excite more intense sloshing wave than those with other frequency contents, since the frequency content is a representative index to identify the overall situation of the seismic frequency; ③ the hydrodynamic pressure in the upper part of the tank shows a convective mode, namely the dominant response frequency of the pressure is the natural frequency of the fluid and the secondary response frequencies are the seismic frequencies, which is mainly affected by the dominant frequency and frequency content, and is also positively correlated with the PGV and frequency content; ④ the hydrodynamic pressures in the middle and lower parts are linearly and positively correlated with the PGA and remain pulse-like which is extremely obvious in the lower parts since the impulsive mode is dominated in the lower parts, and the growth rate in the lower part is also significantly higher than that in the middle part. Thereby, to ensure the tank safety, in the seismic design, the lower part of the tank sidewall should be strengthened especially in site conditions with potential strong PGA.

     

/

返回文章
返回