基于Chester-Higgs模型探讨摩擦生热对断层演化进程的影响

Numerical investigation of heating effect on the earthquake faulting based on the Chester-Higgs model

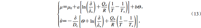
  • 摘要: 速率和状态相依赖的摩擦定律是本文采用的重要定律。结合Chester-Higgs摩擦模型和McKenzie-Brune摩擦生热模型,在一维弹簧-滑块-断层近似模型下,利用四阶变步长的Dormand-Prince算法,研究探讨了断层摩擦生热对断层演化的影响。结果表明:与忽略温度影响的情形相比,摩擦生热造成的温度上升可导致断层滑移时刻的略微提前,并伴随着摩擦系数和状态变量的下降,同时也使得断层的滑移量和应力降略有减小,而滑移速率有所增大;另外,在考虑温度影响时,有效正应力和临界滑移距离也会影响断层的演化过程,断层上的有效正应力越大,断层失稳时刻越提前,温度上升越明显;断层的临界滑移距离越大,断层失稳时刻则越迟,温度上升越显著,但当临界滑移距离超过5 cm时,具有不同临界滑移距离的断层,失稳时的温度则基本保持一致。

     

    Abstract: Rate- and state-dependent friction (RSF) law is an empirical law derived from labo-ratory experiments related to rock friction. RSF law has been used to quantitatively describe complex fault friction processes. Currently, it has emerged as the theoretical basis for the study of seismogenesis and earthquake faulting. With a combination of the Chester-Higgs friction model and the McKenzie-Brune frictional heat generation model, in this study we have investi-gated the effect of frictional heating process on the fault temporal evolution based on a spring-slider-fault system subjected to a rate- and state-dependent friction law. The system equations are solved efficiently by Dormand-Prince method with adaptive steps. The results show that, compared with the case in which the temperature effect is neglected (unheated fault), the rise of temperature caused by frictional heating can lead to a slight time advance of fault instability, accompanied by abrupt decreases of the friction coefficient and state variable, respectively. In the case when the temperature effect is taken into consideration (heated fault), the slip and stress drop on the fault are slightly smaller than that on the unheated fault, while the slip rate becomes larger. In addition, the effective normal stress and critical slip distance can also affect the fault temporal evolution. The greater the effective normal stress on the heated fault is, the earlier the fault instability occurs, accompanied with higher temperature rising. The larger the critical slip distance of the heated fault is, the later the fault instability occurs with a significant temperature increase. However, when the critical slip distance is larger than 5 cm, the peak temperatures are almost the same when the fault is unstable.

     

/

返回文章
返回