松散承压含水层水位的同震响应实验与数值模拟

Experiment and numerical simulation of co-seismic water level response in unconsolidated confined aquifer

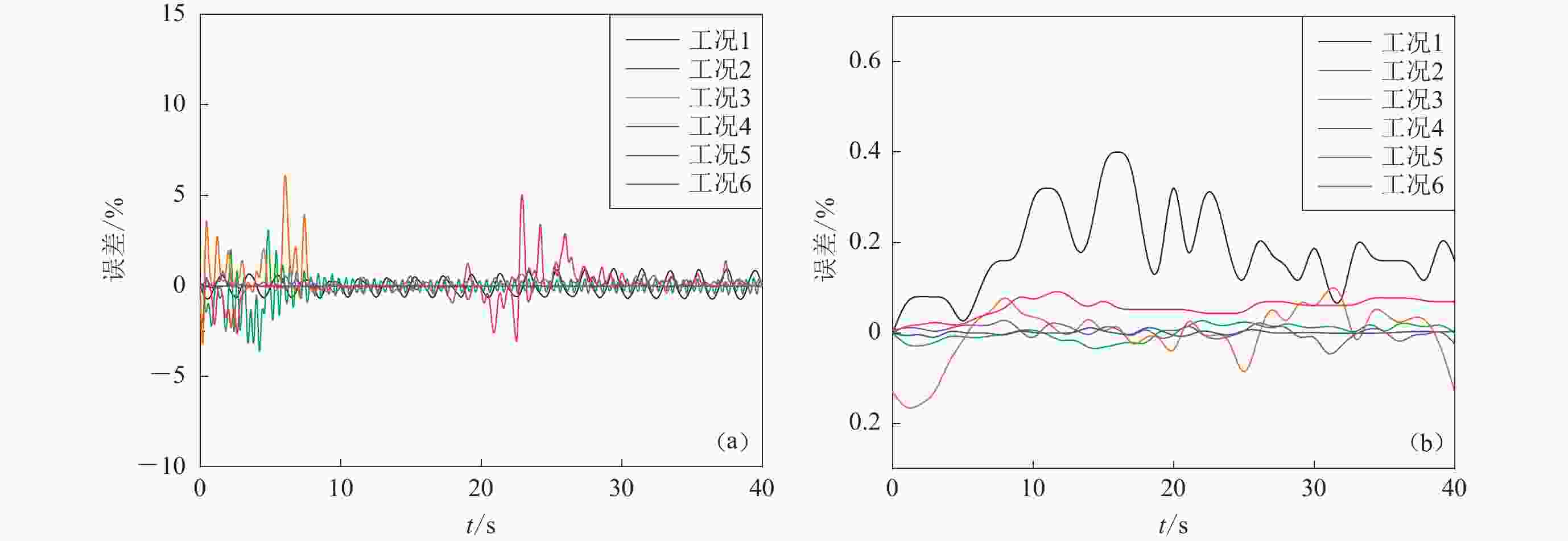
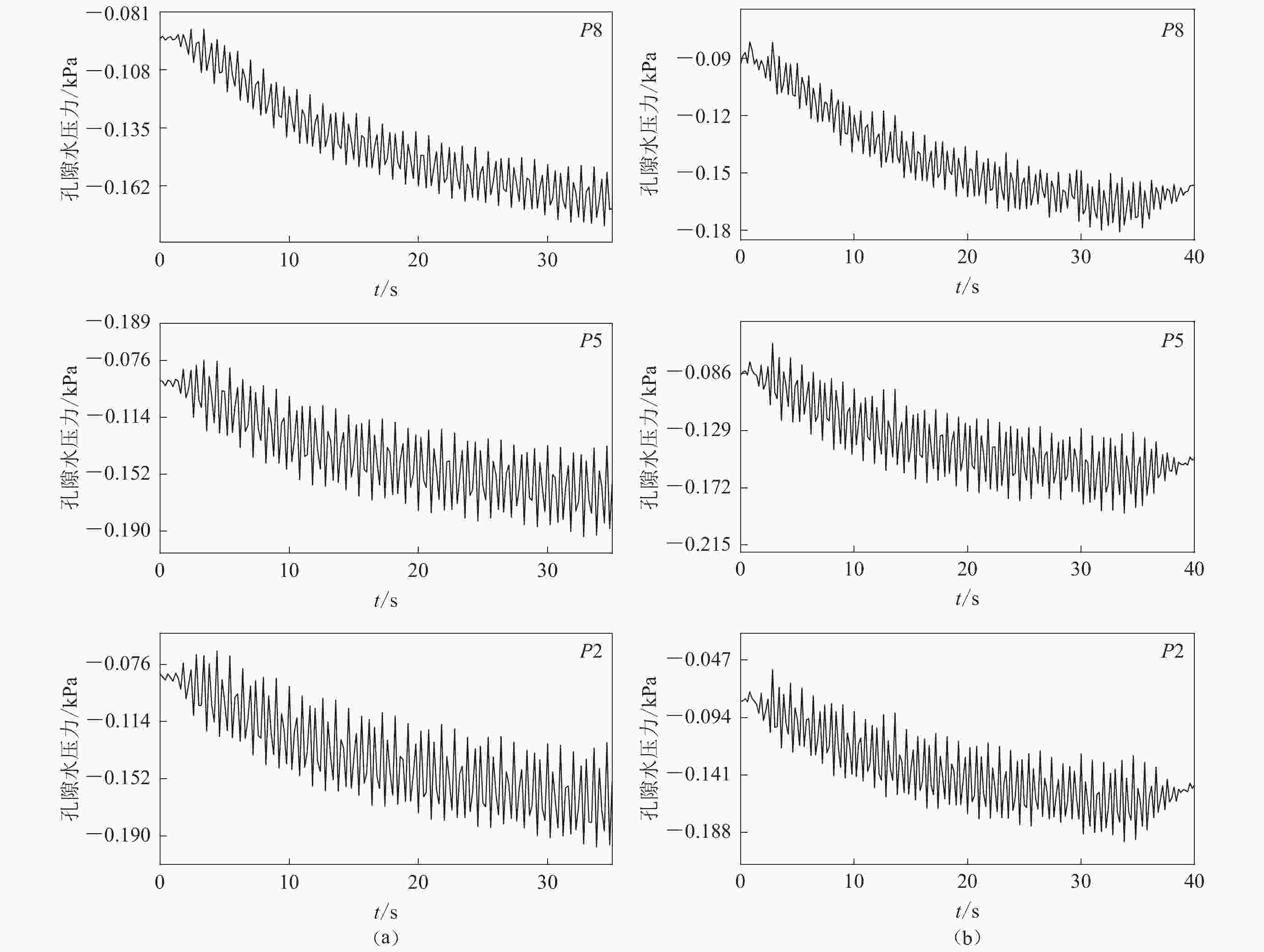
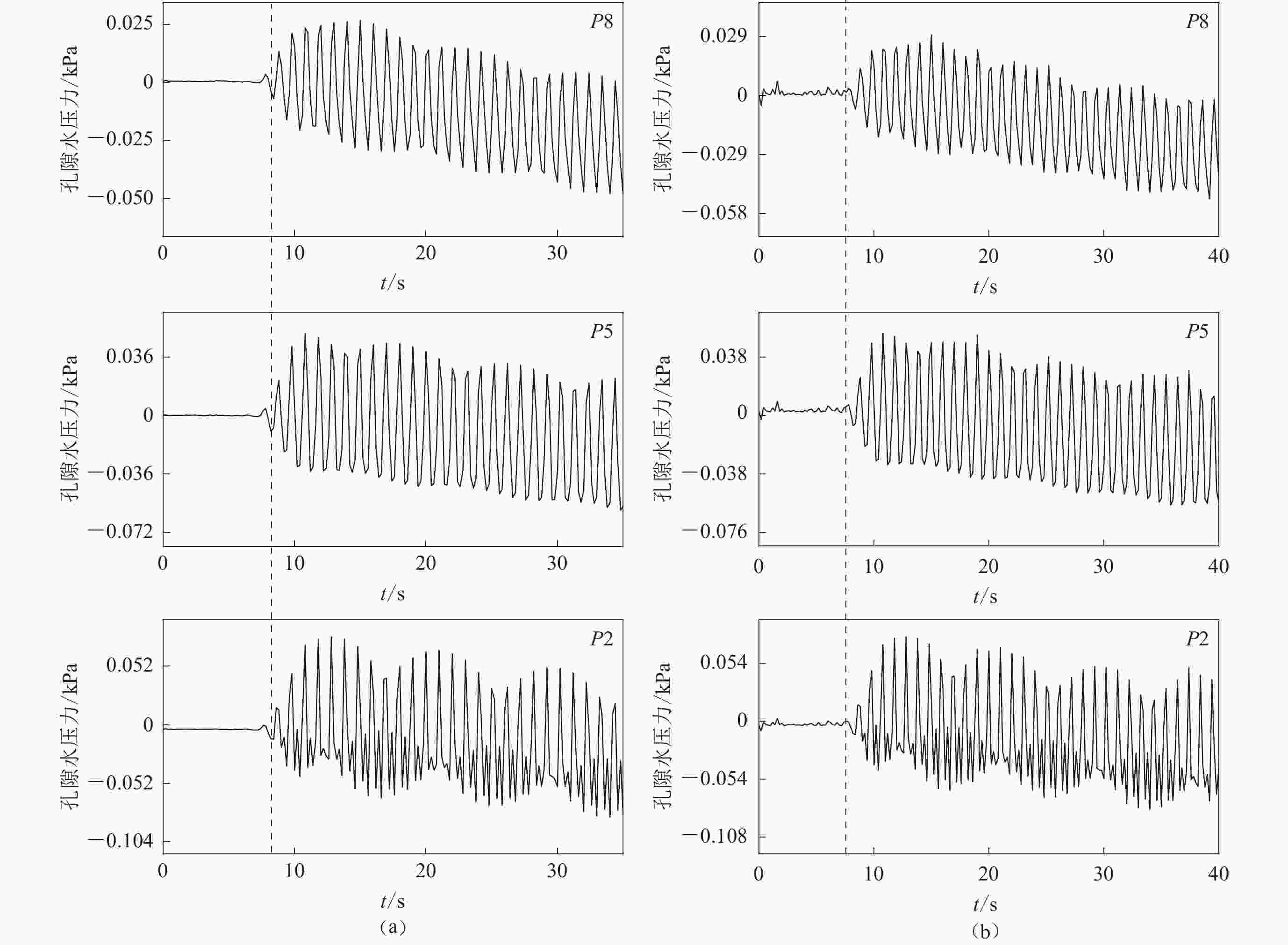
  • 摘要: 为深入理解井水位同震响应机理,本文开展了向完整井-松散含水层系统输入由不同频率和振幅(加速度)组成的正弦波荷载的振动台实验。以实验模型为物理模型,建立了振动作用下松散承压含水层中孔隙水压力响应的流固耦合模型和含水层水流与井流的相互作用模型,并运用多物理场耦合模拟软件COMSOL Multiphysics对实验过程进行了数值模拟。实验中观测到的四种典型水位变化形态与野外场地同震井水位变化形态相似。数值模拟结果显示,本研究建立的数学模型能较好地反映松散承压含水层中孔隙水压力和水位的响应情况。本文研究对解释地下水同震响应机制、岩体渗流稳定性和安全问题具有重要意义。

     

    Abstract: In order to promote understanding mechanisms of co-seismic response of water level in well shaking table experiments have been carried out with sinusoidal loading in different  vibration frequencies and amplitudes (accelerations) for complete well unconsolidated confined aquifer system. The physical model has been built based on experimental model, and fluid-solid coupled model of pore pressure response in unconsolidated aquifer and mathematical model of flow interaction between aquifer well under vibrations have been established. The experimental processes have been simulated in COMSOL Multiphysics, a multi-field coupling simulation software. Four typical water level variation forms observed in experiment are similar to those of field studies, and the results of numerical simulation show that the mathematical model established in this study can well reflect the response of pore water pressure and water level in unconfined aquifer. This research is of great significance to explain the mechanism of co-seismic responses of groundwater, and stability and safety of seepage in rock and soil mass.

     

/

返回文章
返回