基于多台站的接收函数和重力联合反演确定莫霍面起伏和地壳平均波速比

Joint inversion of multi-station receiver functions and gravity data for imaging Moho variations and average crustal vP/vS ratios

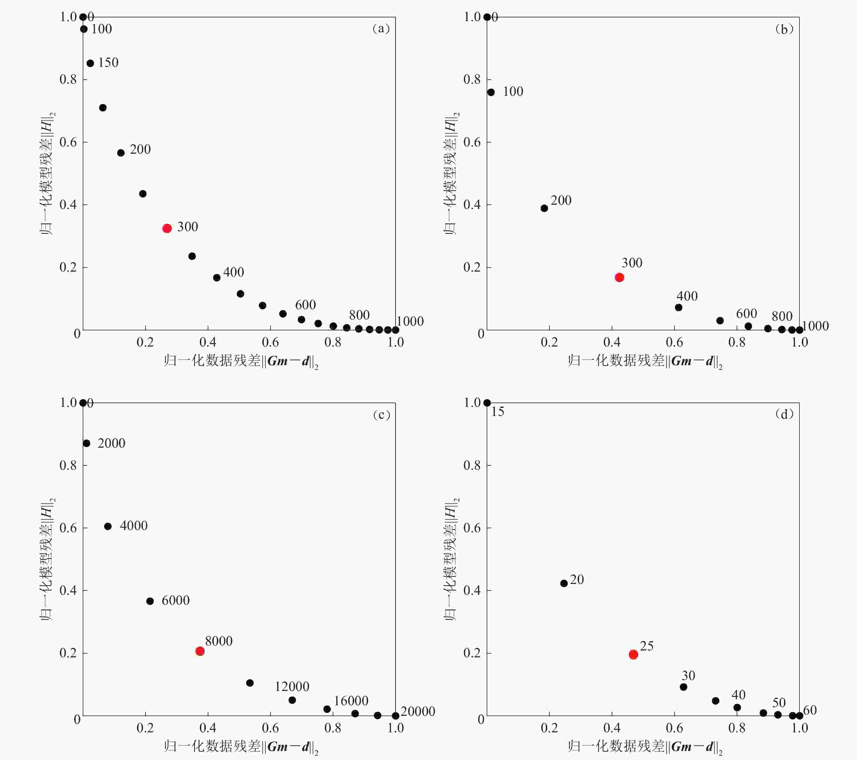
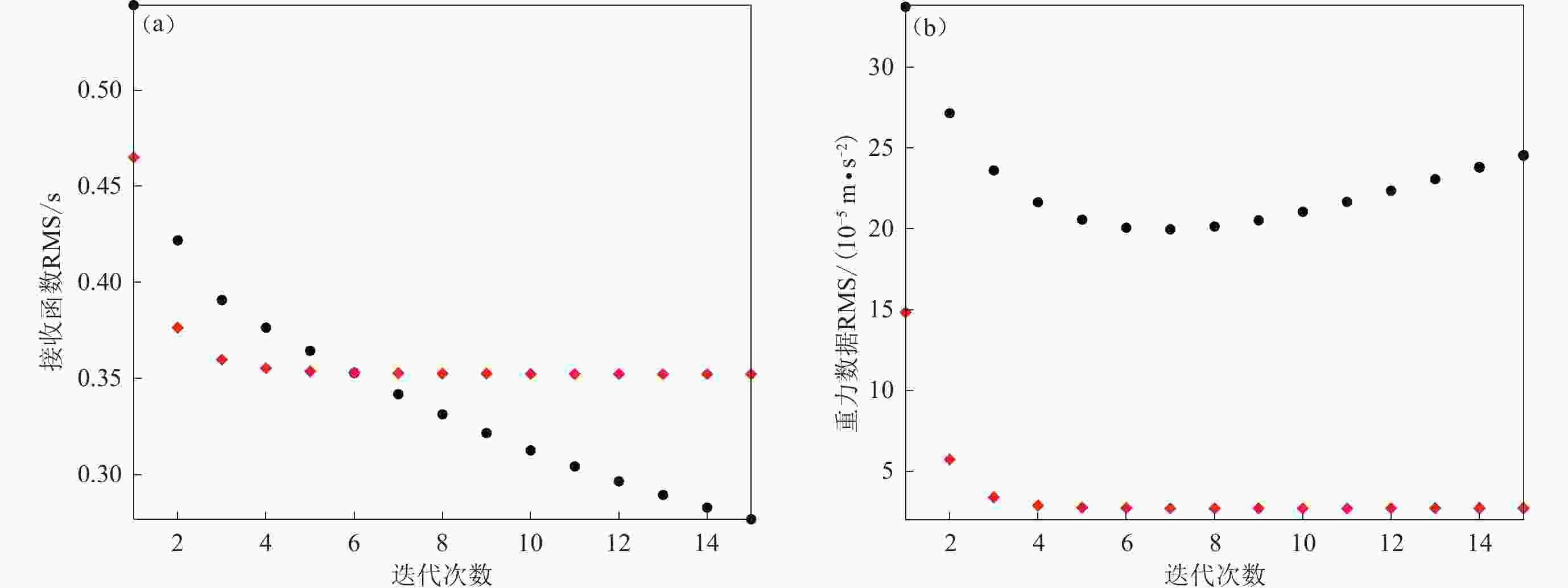
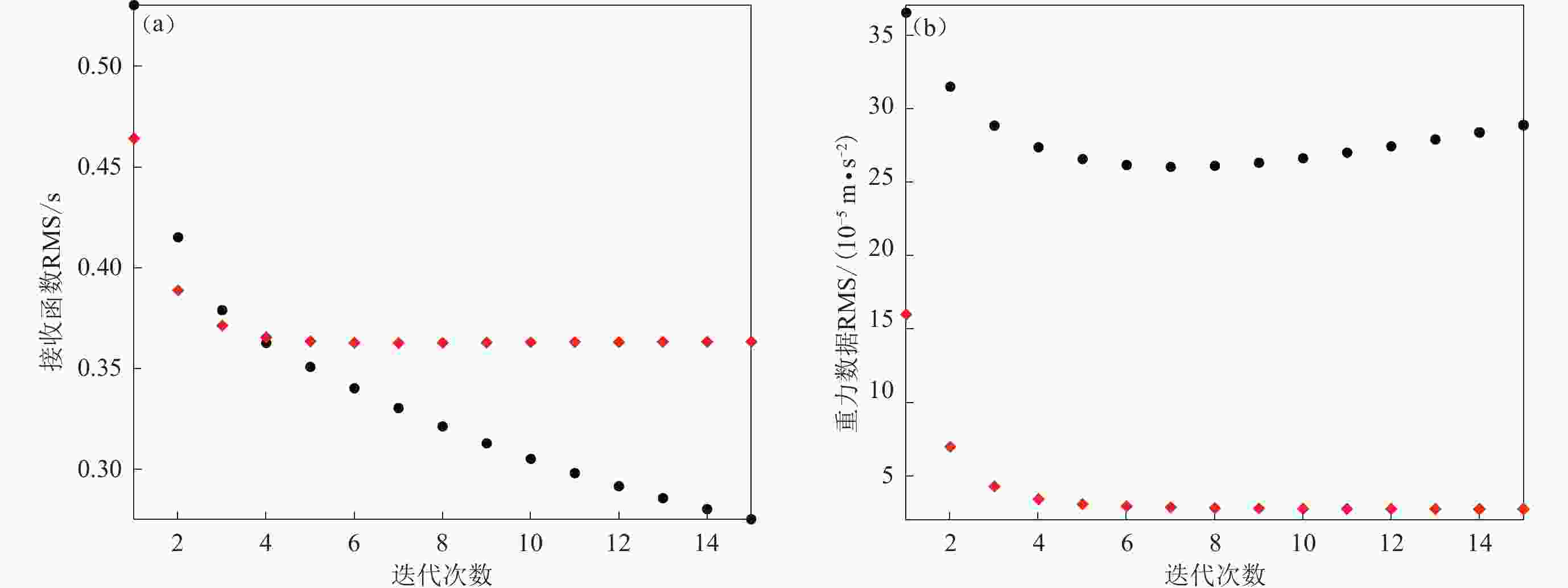
  • 摘要: 地壳厚度和波速比是研究地壳结构和组分的两个重要参数,可为区域构造研究提供重要约束。接收函数被广泛地用于确定地壳厚度和波速比,例如H-κ方法或H-κ-c方法,但是该方法只能确定台站下方的地壳厚度和速度比,当地震台站分布稀疏时,很难约束台站间的横向不均匀性。另一方面,重力数据也可用于莫霍面的起伏变化研究,它在横向上覆盖很好,有较高的分辨率,但在纵向上分辨率相对较低。为此,本研究提出了一种联合反演算法求解莫霍面深度和地壳波速比参数。联合反演算法综合考虑了接收函数在纵向上的较高分辨率和重力数据在横向上的较高分辨率,同时拟合区域内所有台站上的接收函数和区域重力数据。模型测试表明联合反演算法较单一的接收函数反演更精确,特别是对于地壳厚度的确定。

     

    Abstract: Crustal thickness and vP/vS ratio are two important parameters for understanding crustal structure and composition, which can help to study regional tectonics. Receiver function analysis has been widely used for determining crustal thickness and vP/vS ratio by the H-κ method or the H-κ-c method. However, it can only acquire average crustal thickness and vP/vS ratio beneath each seismic station, but cannot constrain their lateral variations among seisimic stations due to their sparse and irregular distribution. On the other hand, the gravity data has been widely used to derive the Moho variaitons, which has a good coverage and resolution laterally but poor resolution vertically. Therefore, in this study we have developed a new joint inversion method of receiver functions and gravity data to simultaneously invert for variations of Moho depths and average crustal vP/vS ratios in a region. The method takes advantage of complementary strengths of receiver functions and gravity data, and can simultaneously fit all receiver functions and gravity data in the region. The synthetic tests show that the proposed joint inversion method produces more reliable results than only receiver function analysis, especially for the crustal thickness.

     

/

返回文章
返回