基于拉普拉斯变换构建校正窄频速度记录的传递函数

A transfer function based on Laplace transform for correcting narrow-frequency velocity recording

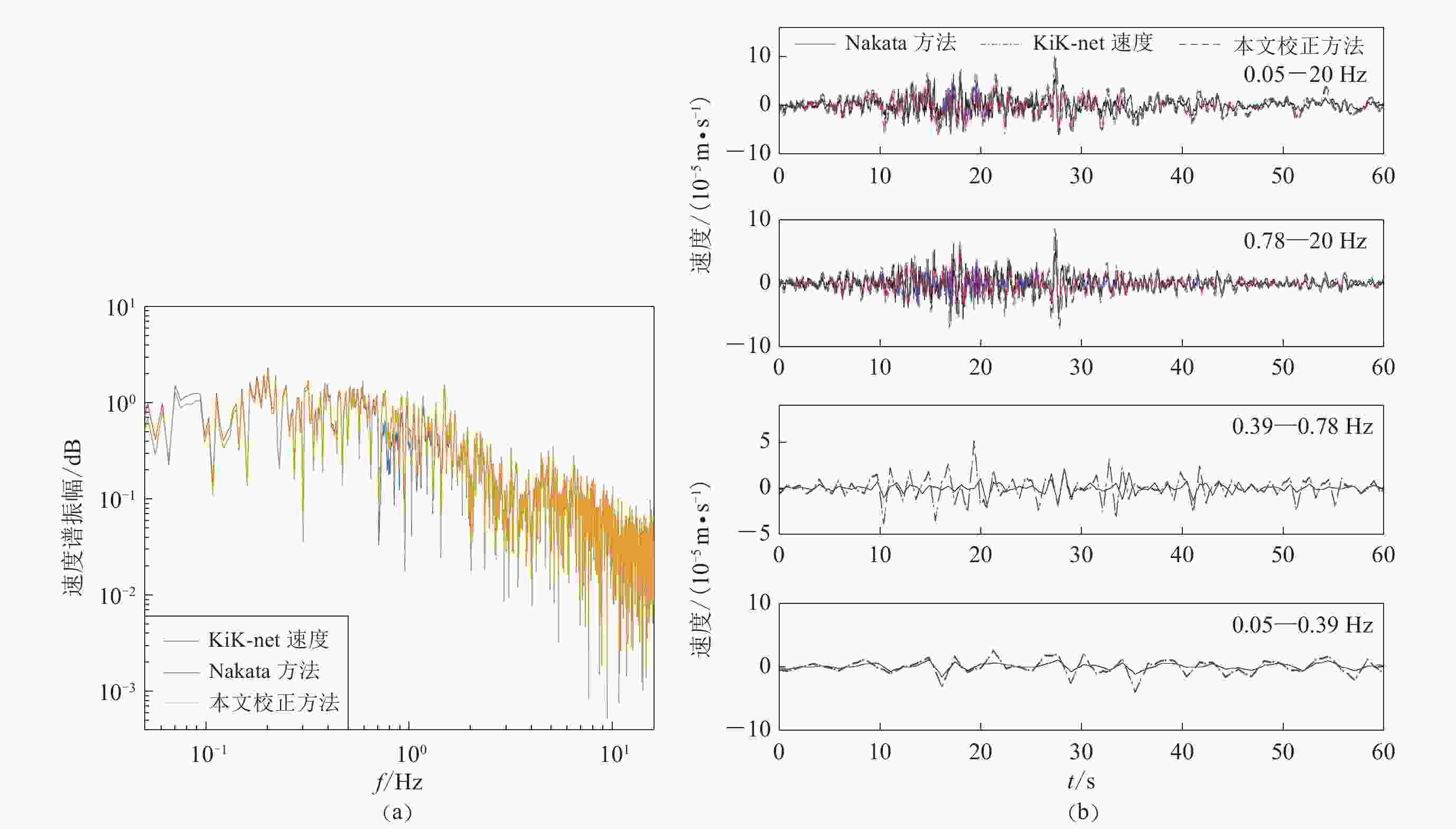
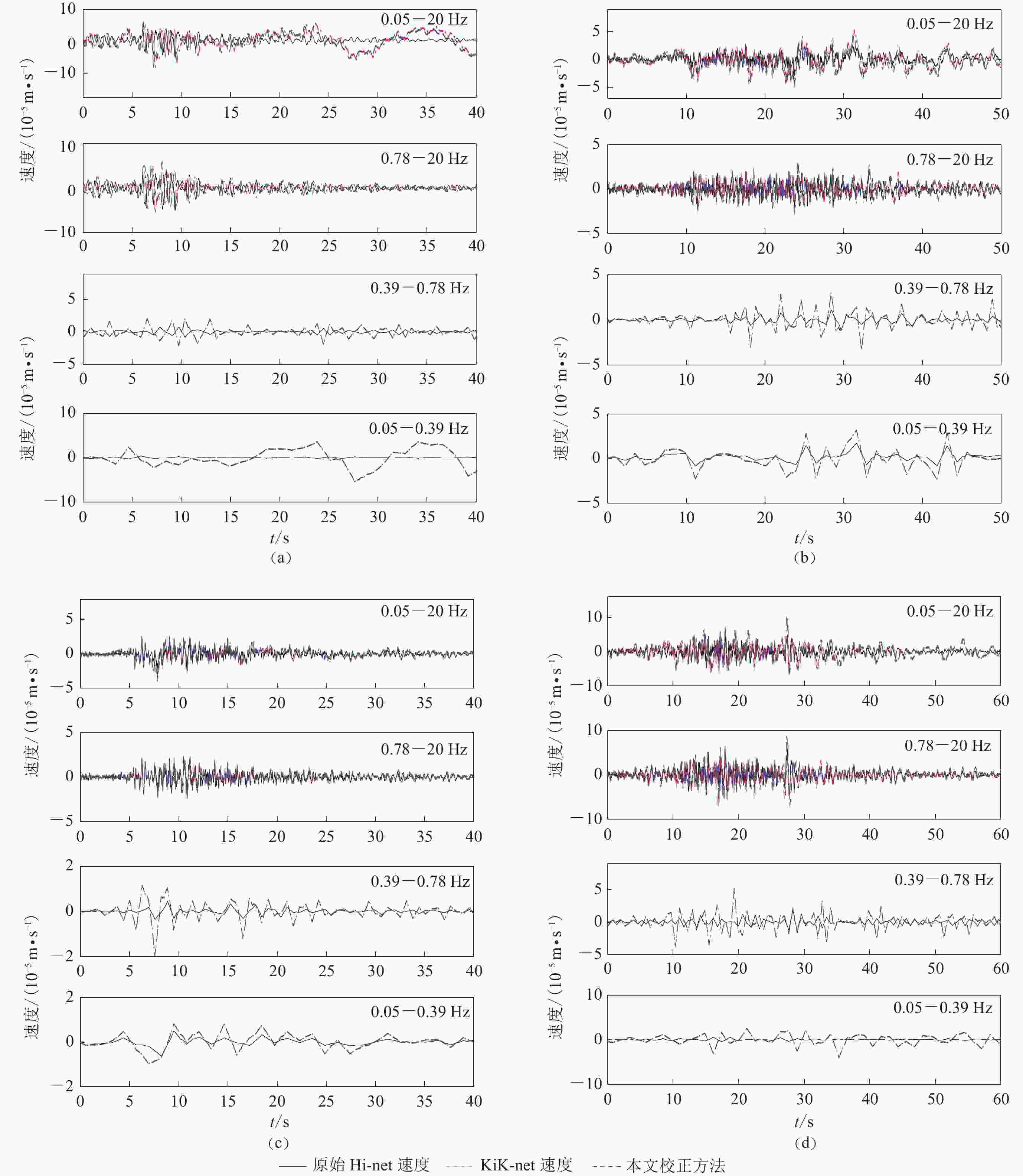
  • 摘要: 受窄频地震仪平坦响应范围影响,窄频速度记录存在低频成分失真问题,导致地震记录可用范围受限。针对此问题,本文推导基于拉普拉斯变换和双线性变换的传递函数,实现由窄频地震记录向宽频地震记录的校正,并以日本Hi-net速度记录为例进行验证,将校正后的速度记录与同台KiK-net加速度积分所得的速度记录予以对比。结果显示,原始速度记录在低频处存在失真,而校正后的波形与KiK-net加速度积分速度记录波形一致,这表明改进的传递函数能有效地解决原速度记录中的低频成分失真问题,有效地拓宽了低频可使用范围,而且相较于Nakata校正速度记录方法,以本文给出的传递函数校正的速度记录在振幅和波形等方面的精度更高。

     

    Abstract: Affected by the flat response range of the narrow-band seismograph, the narrow-band velocity recording has the problem of low-frequency component distortion, which limits the usable range of the seismic recording. To solve this problem, this paper deduces an improved transfer function based on the Laplace transform and bilinear transform to realize the correction from narrow-band seismic records to broadband ones. And then the Japanese Hi-net velocity records are used as an example for correction, and the corrected velocity records are compared with the KiK-net acceleration integral velocity records from the same station. The results show that the original velocity records are distorted at low frequencies, while the corrected waveforms are consistent with the KiK-net acceleration integral velocity records. The analyse show that the improved transfer function can effectively solve the distortion of the low-frequency components in the original velocity records, which effectively widens the usable range of low-frequency. Moreover, compared with the Nakata-corrected velocity recording method, the velocity recording corrected with the transfer function given in this paper is more accurate in terms of amplitude and waveform.

     

/

返回文章
返回