湖北中强震孕震环境和震源机制研究

The seismogenic environment and focal mechanisms of moderate-strong earthquakes in Hubei Province

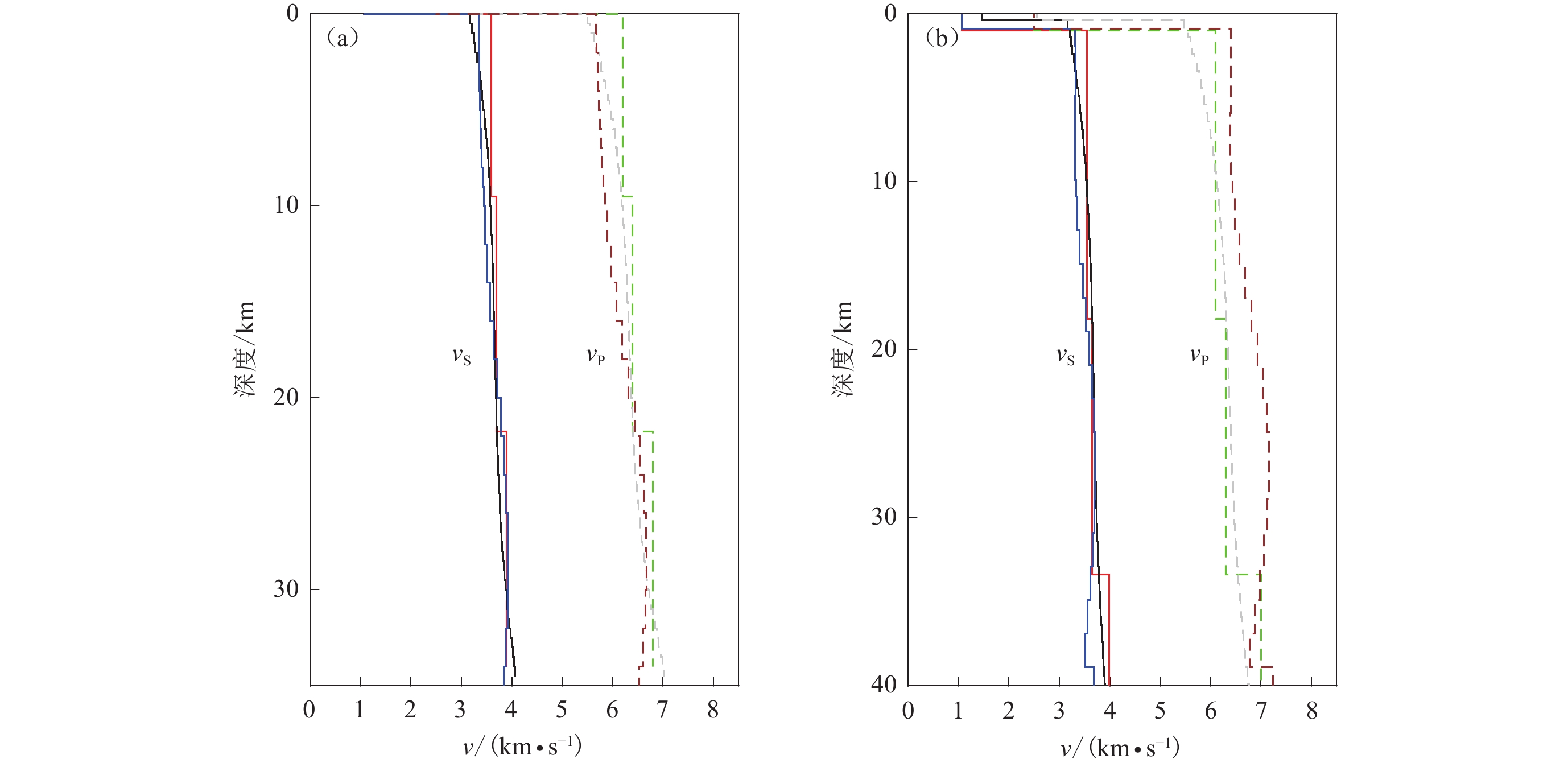
  • 摘要: 通过CAP技术反演了湖北省2018年秭归MS4.5和2006年随州ML4.7地震的震源参数,并采用接收函数与面波相速度频散曲线联合方法揭示了湖北省有地震记录以来的三次M6以上强震和1958年地震仪观测以来的六次M4.5—6.0地震震中处的地壳剪切波速度。结果显示:随州地震走向呈NW向,震源深度为8 km,发震断层与襄樊—广济断裂带以及皂市断裂或潜北断裂有关;秭归地震走向为NNE和NE向,震源深度为5 km,发震断层与新华—龙王冲断裂带和高桥断裂带有关。基于前人采用CAP等方法得到的2013年巴东MS5.1、2014年秭归MS4.6和2019年应城MS4.9地震的震源机制解以及本文接收函数与面波联合反演所得的地壳S波速度对孕震环境和震源机制进行研究,结果显示:湖北地区中等地震的发震断层都以走滑为主,与断裂构造分布状况相对应;获得震源机制解的五次中强地震分别发生在不同速度特征的垂向高低速转换区域,四次震源深度未知的中强震在传统发震层深度范围内也呈现明显的垂向高低速互层变化特征;2006年随州ML4.7、2014年秭归MS4.6和2019年应城MS4.9地震可能为构造型地震,2013年巴东MS5.1和2018年秭归MS4.5地震可能为水库触发型地震。

     

    Abstract:
    Research on earthquake trends, investigations of seismo-geological characteristics, and studies of seismic activity in Hubei Province shows that Hubei and its neighboring regions exhibit a background conducive of moderate to strong earthquakes. In the Yangtze craton of Hubei Province, which is structurally stable and characterized by low heat flow and strong rigidity, moderate to strong earthquakes occurred one after another in recent years. The seismogenic background and seismogenic structure have drawn considerable attention, but systematic research in this regard remains relatively scarce.
    In this paper we uses CAP (cut and paste) technology to invert the source parameters of the 2018 Zigui MS4.5 earthquake and the 2006 Suizhou ML4.7 earthquake. And then we have employed a joint method of receiver function and surface wave phase velocity dispersion curve to reveal the shear wave velocity of the crust at the epicenter of three earthquakes with M≥6 (documented since the start of earthquake records) and six earthquakes with M4.5−6.0 (recorded following the implementation of seismometer observations in 1958) in Hubei Province. The results indicate that for the 2006 Suizhou ML4.7 earthquake, the strike, dip angle, and rake were 126°, 78° and −30°, respectively, the strike direction was NW, and the focal depth was 8 km. The seismogenic fault was related to the northwest trending Xiangfan-Guangji fault zone and its subfaults (Zaoshi fault or Qianbei fault). For the 2018 Zigui MS4.5 earthquake, the strike, dip angle, and rake were 61°, 58° and 173°, the strike was NNE and NE, and the focal depth is ML4.75 km. The seismogenic fault was related to the Xinhua-Longwangchong fault zone and Gaoqiao fault zone. Based on the source mechanism solutions of the 2013 Badong MS5.1, 2014 Zigui MS4.6, and 2019 Yingcheng MS4.9 earthquakes obtained by previous researches using CAP and other methods, as well as the crustal S-wave velocity obtained by the joint inversion of receiver function and surface wave in this paper, it was found that the seismogenic faults of medium and strong earthquakes are mainly of strike-slip, which is corresponding to the distribution of fault structures. For the 2013 Badong MS5.1 earthquake and the 2014 Zigui MS4.6 earthquake, their S-wave velocities vary from low to high, with velocity percentage changes of 4% and 7%, respectively. In contrast, for the 2018 Zigui MS4.5, 2006 Suizhou ML4.7, and 2019 Yingcheng MS4.9 earthquakes, the S-wave velocities vary from high to low, with velocity variations percentage of −4%, −1%, and −2%, respectively. The five moderate-strong earthquakes, for which the focal mechanism solutions were obtained, occurred in vertical high-low velocity transition zones with different velocity characteristics. Additionally the four moderate to strong earthquakes with unknown focal depths also exhibited significant vertical high-low velocity interlayer variations within the traditional depth range of the seismogenic layer. The risk of moderate to strong earthquakes in Hubei Province has increased. Seismic activity is significantly higher in the western part of the province compared to the eastern part, with a concentration in Zigui and its adjacent areas. Small and medium-sized earthquakes are also clustered in the source area and its adjacent areas of Zigui, which needs to be monitored specially. The paper suggests that the 2006 Suizhou ML4.7, the 2014 Zigui MS4.6, and the 2019 Yingcheng MS4.9 earthquakes may be structural earthquakes, which are speculated to be related to the reverse compression of the northwest Yangtze Plate, the relative compression and impact of the southwest Indian Plate, and the activation of preexisting faults under the dual effects of subduction of the Pacific Plate and rock asthenosphere system. The 2013 Badong MS5.1 earthquake and the 2018 Zigui MS4.5 earthquake occurred in the vicinity of the Three Gorges Reservoir, with shallow epicentral depth. It is speculated that the reservoir’s water impoundment and subsequent downward infiltration altered the local seismic environment, potentially rendering these events reservoir-triggered earthquakes.
    In summary, it is necessary to persistently focus on and strengthen the research on earthquake trends, geological characteristics of earthquakes, and monitoring of earthquake activities in Hubei Province. This is crucial for averting the earthquake-related disasters risk and reducing the huge losses caused by earthquakes. The study of the seismogenic environment and focal mechanism of moderate to strong earthquakes can provide reference for understanding earthquake characteristics and earthquake prevention and disaster reduction in Hubei Province.

     

/

返回文章
返回